Đồng bằng sông Cửu Long là nơi có tiềm năng phát triển du lịch rất lớn, đặc biệt là du lịch bằng đường thủy. Tuy nhiên, đa số phương tiện đưa đón khách tham quan hiện nay ở trong vùng đều sử dụng động cơ chạy bằng nhiên liệu xăng, dầu… Đây là loại nhiên liệu hóa thạch được dự báo là đang dần cạn kiệt trong một tương lai không xa, vừa gây ô nhiễm môi trường, gây tiếng ồn, tốn chi phí trong quá trình vận hành khai thác. Do đó, việc thay thế các nguồn nhiên liệu nêu trên bằng một nguồn năng lượng tái tạo là hết sức cần thiết. Xuất phát từ nhu cầu thực tiễn tại địa phương, ông Huỳnh Thiện Liêm cùng 3 nông dân khác tại Đồng Tháp đã mày mò nghiên cứu và lắp ráp thành công “Thuyền du lịch chạy bằng năng lượng mặt trời”. Thiết bị đã được đưa vào chạy thử nghiệm ngày 31.5.2015 và đã được lãnh đạo các sở/ngành chức năng tại địa phương đánh giá cao. Ưu điểm của sản phẩm này là tận dụng được một số thiết bị, vật tư có sẵn trong nước (ngoại trừ pin năng lượng mặt trời là được nhập khẩu từ nước ngoài). Việc vận hành phương tiện rất dễ dàng, thuận tiện và thân thiện với môi trường; thiết bị hoạt động ổn định, có độ bền cao và giá thành phù hợp với thực tiễn…
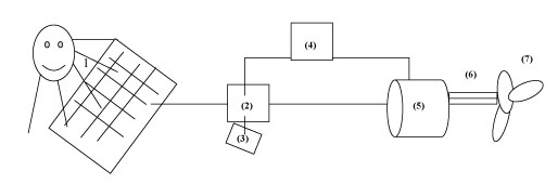
Nguyên lý vận hành của thiết bị được mô tả theo sơ đồ sau:

Sơ đồ nguyên lý của giải pháp (1- Pin mặt trời, 2 - Bộ điều khiển sạc năng lượng mặt trời, 3- Hệ thống bình ắc quy, 4- Bộ điều khiển tốc độ động cơ điện, 5- Động cơ điện, 6 - Bộ truyền động trục láp, 7- Chân vịt tàu thủy)
Thuyền du lịch chạy bằng năng lượng mặt trời được vận hành theo nguyên lý chuyển đổi “quang - điện - cơ” và “thủy động lực học”. Theo đó, ánh sáng mặt trời tác động vào tấm pin mặt trời tạo ra dòng điện DC (một chiều) theo nguyên lý quang - điện, thông qua bộ điều khiển sạc năng lượng mặt trời để sạc vào hệ thống ắc quy tích trữ năng lượng dự phòng; đồng thời, bộ điều khiển sạc sẽ điều phối dòng điện từ pin mặt trời và hệ thống bình ắc quy cấp điện cho motor hoạt động theo nguyên lý cơ điện. Tùy theo điều kiện nắng nhiều hay ít mà bộ điều khiển sạc sẽ lấy dòng điện trực tiếp từ pin mặt trời hay từ hệ thống bình ắc quy dự phòng để cấp cho motor. Khi motor hoạt động, thông qua bộ điều khiển tốc độ làm cho motor quay thuận chiều hay nghịch chiều với vận tốc quay nhanh hay chậm theo ý muốn người điều khiển qua bộ truyền động thuyền tiến, lùi một cách hợp lý.
Thuyền du lịch chạy bằng năng lượng mặt trời vận hành với vận tốc và tải trọng đã định, tùy theo công suất thiết kế để tính toán số công suất (W) pin mặt trời, bộ điều khiển sạc, dung lượng bình ắc quy, bộ điều khiển tốc độ, động cơ điện và hệ thống truyền động kết nối với chân vịt thuyền một cách hợp lý nhất, sao cho pin phải đủ cung cấp dòng điện và điện áp vừa làm quay động cơ, vừa để sạc vào ắc quy tích trữ năng lượng dự phòng khi trời không có nắng hoặc đêm khi đêm xuống đủ giúp thuyền có thể hoạt động thêm từ 2 đến 3h.
Thuyền du lịch năng lượng mặt trời chạy bằng motor điện nên không gây tiếng ồn và được bố trí bộ điều khiển lái thuyền bằng vô lăng nên rất thuận tiện cho người điều khiển. Các linh kiện, vật tư lắp đặt trên thuyền có tính ổn định và độ bền cao nên việc bảo trì, sữa chữa không gặp khó khăn, thay thế dễ dàng. Thuyền được trang bị các tiện nghi khác như hệ thống nghe, nhìn, ánh sáng...
Để khuyến khích sự sáng tạo của người dân trong hoạt động KH&CN nói chung, Lãnh đạo UBND tỉnh Đồng Tháp đã chỉ đạo các sở, ban, ngành chức năng tạo mọi điều kiện để hỗ trợ trong việc sản xuất và đăng ký sáng chế/giải pháp hữu ích cho thiết bị này. Theo đó, UBND tỉnh chỉ đạo Sở KH&CN Đồng Tháp hỗ trợ nhóm tác giả lập hồ sơ đăng ký sáng chế/giải pháp hữu ích đối với sản phẩm nêu trên; giao cho ông Huỳnh Thiện Liêm chủ trì dự án sản xuất thử nghiệm 5 chiếc thuyền du lịch chạy bằng năng lượng mặt trời phục vụ du khách trong ngày hội du lịch Đồng Tháp (dự kiến trong tháng 9.2015); đặt hàng ông Huỳnh Thiện Liêm và nhóm nghiên cứu thiết kế cung cấp hệ thống tưới hoa kiểng tại TP. Sa Đéc bằng năng lượng mặt trời. Bên cạnh đó, UBND tỉnh cũng đề nghị các sở, ban, ngành có liên quan hỗ trợ các cá nhân có sáng chế, sáng kiến thành lập doanh nghiệp KH&CN hoặc hợp tác với các doanh nghiệp khácđể hoàn thiện và ứng dụng các kết quả KH&CN nghiên cứu vào hoạt động sản xuất, kinh doanh; đẩy mạnh công tác phổ biến, quảng bá các hoạt động sáng tạo… để người nông dân trong tỉnh nói chung, nhóm nghiên cứu của ông Huỳnh Thiện Liêm nói riêng phát huy tối đa sự sáng tạo của mình trong lĩnh vực KH&CN, đóng góp thiết thực cho việc phát triển kinh tế - xã hội của tỉnh.
Võ Hồng Vân
Phòng Quản lý Công nghệ và Sở hữu trí tuệ
Sở KH&CN Đồng Tháp